信息来源:颜学庆、陈佳洱 && 北京大学激光加速器团队
加速器作为核科学中的核心仪器设备,对人类的生存发展和国家的地位与安全具有重要影响,成为衡量综合国力的一项重要标志。激光等离子体相互作用产生的加速电场可以比常规加速器至少高出千倍以上,加速器的尺寸可以降低成千上万倍,显著降低所需要的空间、运行和维护成本。同时激光加速器产生的离子束具有能量高、脉冲短(皮秒量级)、尺寸小(微米)、方向性好以等特点,具有很高的时间和空间分辨率。
 |
| 图1 激光加速器装置照片 |
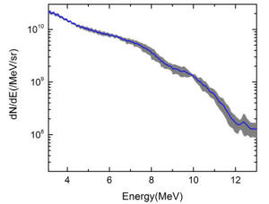
在国家重大仪器专项、重大科学问题导向项目(973A) 、XXX专项和协同创新等项目的支持下,北京大学激光加速团队攻克了高对比度与高光强激光技术、自支撑纳米薄膜靶制备技术、超高流强离子束传输技术和激光加速器辐照研究平台等关键技术,最终建成世界上首台超小型激光加速器辐照装置(如图1所示),加速参数指标为1~15MeV质子束,总流强106-8个粒子/发。2017年激光加速器装置正式建成出束,并通过了同行专家的现场技术测试。实验中利用能谱仪、RCF和CR39,确认加速产生了能量1-15 MeV 质子束(如图2所示),在加速稳定性测试实验中,进行了5发连打测试,显示质子截止能量的稳定性好于3%(如图3所示)。
 |
| 图2 RCF胶片和CR39的探测结果 |
激光加速直接产生的质子束通常具有较大的能散,束流能量和流强的稳定性和可靠性可以通过基于电磁铁束流传输系统进一步改进,从而提供日常运行所需要的可靠性、稳定性和重复性。北京大学首次采用了基于电四极透镜和分析磁铁等高流强离子束流传输和分析系统,并开展了3-10MeV能量可调的高流强、短脉冲质子束传输测试,稳定地获得了1%能散 / 1-10pC电量的质子束 (均为国际最好指标)。
 |
 |
| 图3 五发激光加速质子束能谱的叠加图 |
 |
| 图4 束线测试与结果 |
图5 专家现场测试验收表 |
上述结果表明,该装置可以像常规加速器一样稳定可靠地运行,首次实现了激光加速到加速加速器的跨越。未来激光加速器将可以广泛用于先进光源、温稠密物质产生、核医学、空间辐射环境模拟、惯性约束聚变、国际热核聚变堆等领域。